1
/
of
3
Circular Dress Collaborative
Book to Sell Your Premium Preloved Pieces
Book to Sell Your Premium Preloved Pieces
Regular price
€0,00 EUR
Regular price
Sale price
€0,00 EUR
Taxes included.
Shipping calculated at checkout.
Quantity
Couldn't load pickup availability
- Consignment appointments are Wednesday & Sunday (select times). No Fee-however no shows may change this.
- Please cancel on our site if you cant make it-or message us.
- 4 Items per appointment, 1 appointment per month
- Review form on this page and fill out prior to coming. Please write down Brand, Size, Colour and Brief Description. Our Price is our Price to sell & make you money. Just think "What is it worth in your closet.
- No Temu or Shein, Primark or Ultra Fast Fashion
- All items Cleaned, Pressed and checked for stains or tears
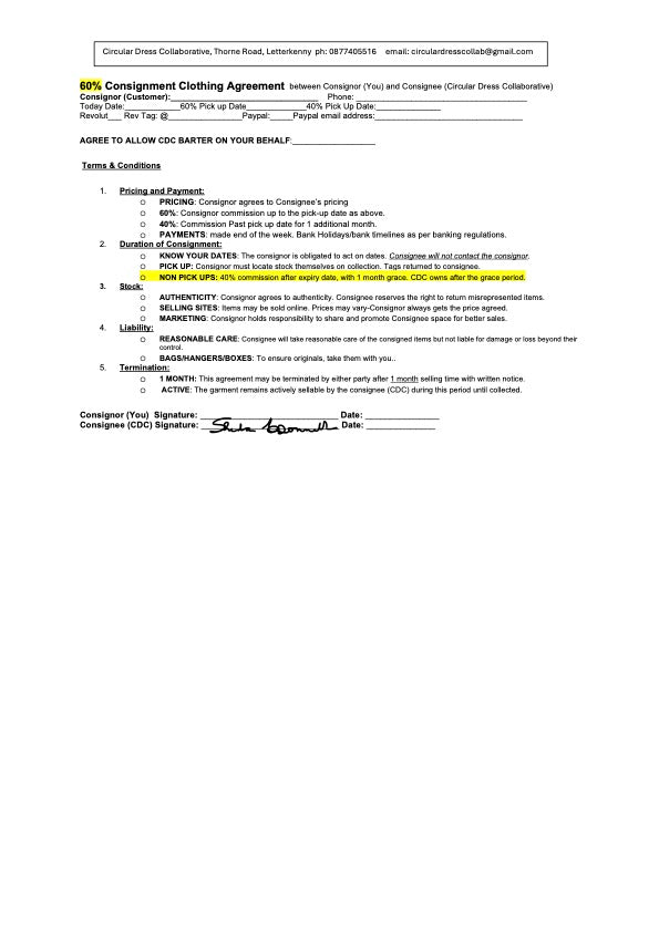
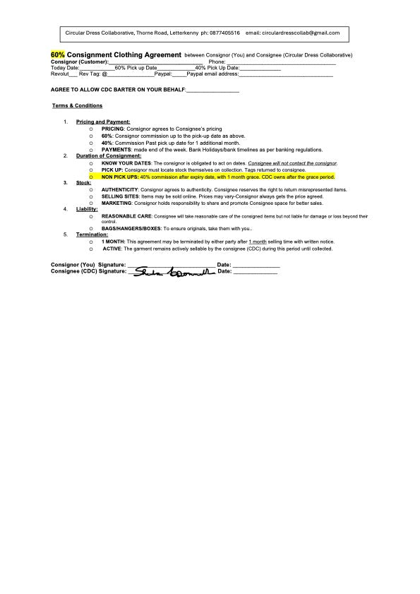
- **Contracts have expiry dates, which you need to understand
- 5 other ways for you to make money and save money in our shop
Share
